Caratterizzazione delle proprietà dei materiali dei polimeri per radome e paraurti per ottimizzare la trasparenza dei radar

I veicoli autonomi e semi-autonomi si basano su una complessa architettura hardware e software per raccogliere e sfruttare le informazioni provenienti da numerosi sensori radar. Per generare dati affidabili, i sensori devono avere una visuale libera dell'ambiente circostante. I paraurti o i radome montati davanti ai sensori non devono compromettere la funzionalità del radar. Ciò richiede test approfonditi sulle parti in plastica impiegate e sulla struttura polimerica sottostante. R&S®QAR50 è lo strumento ideale per caratterizzare le proprietà dei materiali dei polimeri e la loro influenza sulla qualità del segnale radar nelle prime fasi di progettazione e nel controllo qualità dello sviluppo dei materiali.

Fig. 1: Influenza delle proprietà dei polimeri sulle prestazioni dei radar
Fig. 1: Influenza delle proprietà dei polimeri sulle prestazioni dei radar
Ingrandisci immagine

Attività da eseguire

Applicazione

Le sfide per ottimizzare la composizione dei polimeri per paraurti e radome sono molteplici. Ad esempio, il materiale deve consentire il giusto equilibrio tra leggerezza, aspetto, funzionalità e libertà di progettazione. Con il crescente utilizzo dei radar nelle automobili, le proprietà dei materiali dei polimeri utilizzati per i paraurti e i radome stanno diventando un fattore chiave per le prestazioni complessive del radar, dando origine a nuovi requisiti. Le riflessioni e il disallineamento del materiale causano riflessioni tra il radar e il paraurti/radome, causando l'accecamento del sensore e la presenza di ghost target. Pertanto, la composizione dei polimeri utilizzati per l'esterno dell'automobile deve essere ottimizzata per la trasparenza radar fin dall'inizio (ved. Fig. 1). È possibile fare scelte migliori sapendo come un polimero riflette, lascia passare e/o assorbe l'energia a radiofrequenza nella gamma dei radar automobilistici.

In genere, le misure caratterizzano principalmente la permittività di un materiale. La permettività, in termini semplici, determina la compressione della lunghezza d'onda di un segnale trasmesso all'interno di un materiale. Lo spessore ideale del materiale risulta sempre un multiplo della metà della lunghezza d'onda all'interno del materiale. Il motivo è l'annullamento delle riflessioni per l'interferenza distruttiva che si verifica alle transizioni tra aria e materiale e tra materiale e aria.

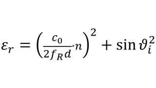
Per determinare la permittività relativa (εr), è necessario conoscere lo spessore elettrico del campione di materiale. Il valore di εr può essere determinato dopo aver calcolato la frequenza di risonanza.

Determinare la permittività relativa (εr)

A causa dei diversi angoli di incidenza del segnale radar, è necessario includere un termine di correzione nella formula precedente. La permittività relativa è quindi determinata da:

Permittività relativa

L'angolo di incidenza medio espresso da ϑi è incluso nel termine di correzione. Rappresenta il numero di mezze lunghezze d'onda nel materiale.

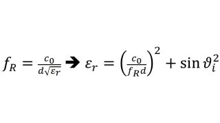
Ipotizzando uno spessore del campione elettrico di 2 λ, la permittività relativa si ottiene come segue:

Permittività relativa
Fig. 2: Influenza dei polimeri su trasmissione e riflessione del segnale radar
Fig. 2: Influenza dei polimeri su trasmissione e riflessione del segnale radar
Ingrandisci immagine

Il valore di εr e la nitidezza dei minimi di perdita per riflessione e trasmissione possono essere ottimizzati dai produttori di materiali. Ciò richiede la determinazione continua della permittività durante lo sviluppo e la risoluzione dei minimi di perdita per riflessione e trasmissione. Questa procedura standardizzata consente anche di ottimizzare l'influenza dei sistemi multistrato, come la vernice, in un processo iterativo per evitare interazioni negative tra il radar e il paraurti/radome nelle prime fasi di sviluppo (ved. Fig. 2).

Fig. 3: Influenza dello spessore del materiale sulla perdita di riflessione e trasmissione per i radome monostrato
Fig. 3: Influenza dello spessore del materiale sulla perdita di riflessione e trasmissione per i radome monostrato
Ingrandisci immagine
Fig. 4: Interpretazione delle misure di perdita di trasmissione per radome monostrato e multistrato
Fig. 4: Interpretazione delle misure di perdita di trasmissione per radome monostrato e multistrato
Ingrandisci immagine

Difficoltà

Il tipo più elementare di caratterizzazione dei materiali consiste nell'utilizzare un foglio di materiale dielettrico con spessore d e permittività εr. Tipi più complessi di caratterizzazione coinvolgono materiali multistrato con diversi spessori e parametri del materiale, ad esempio polimeri, assorbitori, schiuma o vernice. In questo caso, la complessità della caratterizzazione complessiva aumenta in modo significativo a causa dello spessore dei singoli strati e dei possibili vuoti d'aria (ved. le Figure 3 e 4).

Fig. 5: Influenza di vernici e rivestimenti sullo spessore del materiale di un paraurti
Fig. 5: Influenza di vernici e rivestimenti sullo spessore del materiale di un paraurti
Ingrandisci immagine

Le vernici metallizzate, in particolare, possono aggiungere diversi fattori di incertezza. I pigmenti metallici fungono da conduttori con elettroni separati da isolatori. Le onde elettromagnetiche fanno oscillare gli elettroni all'interno del metallo, polarizzando la superficie e aumentando fortemente la permittività (ved. Fig. 5).

Poiché tutte queste fasi devono essere ripetute in rapida successione, è necessario un metodo di misura semplice che fornisca risultati robusti e affidabili. In questo caso, l'utilizzo di segnali RF per eseguire misure sui materiali presenta una serie di importanti vantaggi. In primo luogo, e forse è l'aspetto più importante, questo approccio consente di effettuare test non distruttivi sui materiali. In molti casi, vorremmo ottenere informazioni su un materiale senza distruggerlo nel processo. Un altro importante vantaggio è che i segnali RF consentono di effettuare misure del materiale mentre questo è sottoposto a vari cambiamenti fisici, meccanici, termici o chimici. L'approccio che utilizza i segnali RF per effettuare misure sui materiali si concentra sulla determinazione della permittività relativa di un materiale.

Un modo per ottenere la permittività relativa è utilizzare un analizzatore di reti vettoriali (VNA). Il VNA misura la trasmissione e la riflessione come descritto di seguito. Per ulteriori dettagli, fare riferimento al documento citato a pagina 5 della presente scheda applicativa.

Un approccio adottato per i controlli non distruttivi è il metodo freespace, adatto alla banda radar ad alta frequenza di 76 GHz. Ciò richiede che il sistema VNA, compreso un kit di calibrazione, funzioni in quella gamma di frequenze. L'impostazione è complessa e richiede una conoscenza approfondita del VNA per ottenere risultati accurati e riproducibili. Gli analizzatori di rete vettoriali eseguono misure in punti selezionati, il che significa che la minima deviazione dell'angolo ha un effetto massiccio sui valori di misura. Un'altra limitazione è che i campioni di materiale devono essere relativamente grandi e piatti per poter essere illuminati correttamente dalle antenne.

Soluzione Rohde & Schwarz

Per rispondere alla crescente importanza della caratterizzazione delle proprietà dei materiali dei polimeri utilizzati per i componenti esterni dei veicoli, Rohde & Schwarz ha sviluppato il tester della qualità dei radome automobilistici R&S®QAR50.

R&S®QAR50 è lo strumento ideale per verificare con precisione la qualità di radome e paraurti nella gamma di frequenze radar automobilistici durante tutto il ciclo di realizzazione del prodotto, dalla ricerca e sviluppo fino al collaudo finale in produzione. Utilizza centinaia di antenne di ricezione e trasmissione per caratterizzare rapidamente materiali, radome e paraurti. La tecnologia di imaging a microonde, con la sua focalizzazione elettronica, consente un posizionamento più flessibile del DUT. Il sistema R&S®QAR50 è dotato di due cluster di antenne e bande di frequenza personalizzabili. Misura la perdita di trasmissione unidirezionale, la riflessione su entrambi i lati (rispetto al cluster superiore e inferiore) e la fase di trasmissione, il tutto in un ciclo di misura inferiore a 4 s. I risultati sono direttamente paragonabili a quelli ottenuti con misure nello spazio libero utilizzando un analizzatore di reti vettoriali (ved. tabella).

Approccio convenzionale Approccio Rohde & Schwarz
Richiede:
  • Analizzatore di reti vettoriale
  • 2 × convertitore di frequenza in banda E
  • 2 × antenna a tromba
  • Cavi RF
  • Kit di calibrazione
Richiede:
  • R&S®QAR50, tester di qualità per radome automobilistici
  • R&S®QAR50-Z44, set di verifica (tracciabile secondo gli standard nazionali)
Apparecchiature di misura RF complesse e di prezzo elevato Economiche e facili da usare
Procedura di misura complessa con lunghi tempi di calibrazione e misura Risultati di misura in meno di 4 s
Richiede un tecnico specialista RF esperto Non richiede alcuna conoscenza precedente della radiofrequenza
Adatto per R&D Adatto per R&D e la produzione

Sistema di misura

La procedura di caratterizzazione del materiale comprende le seguenti fasi:

  • Misurare lo spessore fisico d
  • Posizionare il campione all'interno dello strumento R&S®QAR50
  • Eseguire la misura
  • Calcolare la permittività relativa εr utilizzando uno script MATLAB® (facile automazione possibile)

Quando si esamina l'influenza di un rivestimento o di un primer sulle proprietà di trasmissione e di riflessione del campione in esame, entrambe le variabili possono essere significativamente peggiorate dall'aggiunta di un top coat. Per questo motivo, si consiglia di effettuare le misure anche nello stato finale di verniciatura.

Lo strumento R&S®QAR50 misura i valori medi di perdita di riflessione e trasmissione per le bande di frequenza 1 e 2 per una determinata area del DUT e li visualizza numericamente.
Lo strumento R&S®QAR50 misura i valori medi di perdita di riflessione e trasmissione per le bande di frequenza 1 e 2 per una determinata area del DUT e li visualizza numericamente.
Ingrandisci immagine

Configurazione dello strumento

Con i suoi due cluster, lo strumento R&S®QAR50 misura come standard la perdita di trasmissione unidirezionale e la riflessione relativa al cluster superiore e inferiore simultaneamente nelle bande da 76 GHz a 77 GHz e da 76 GHz a 81 GHz (bande 1 e 2).

Quando si caratterizzano i materiali plastici, l'interfaccia utente semplificata mostra tutte le informazioni necessarie a colpo d'occhio. La navigazione semplificata dei menu consente di utilizzare il tester per radome senza avere conoscenze dettagliate di radiofrequenza. Il tester visualizza i valori numerici per i risultati delle perdite di riflessione e trasmissione e fornisce informazioni sul posizionamento del DUT. Ciò consente una facile interpretazione dei risultati di misura, che non richiede conoscenze specialistiche di radiofrequenza.

L'opzione R&S®QAR50-K10 permette di coprire la gamma di frequenze da 72 GHz a 82 GHz e mostra la risposta in frequenza della perdita di riflessione e trasmissione misurata.
L'opzione R&S®QAR50-K10 permette di coprire la gamma di frequenze da 72 GHz a 82 GHz e mostra la risposta in frequenza della perdita di riflessione e trasmissione misurata.
Ingrandisci immagine

Per determinare la permittività relativa, è necessario visualizzare la perdita di riflessione e trasmissione in funzione della frequenza per la banda radar automobilistica. Con l'opzione R&S®QAR50-K10 viene mostrata la risposta in frequenza della perdita di riflessione e trasmissione nell'intervallo da 72 GHz a 82 GHz.

Lo strumento R&S®QAR50, equipaggiato con l'opzione R&S®QAR50-K10, mostra la perdita di riflessione e di trasmissione e la risposta in frequenza per le due grandezze.
Lo strumento R&S®QAR50, equipaggiato con l'opzione R&S®QAR50-K10, mostra la perdita di riflessione e di trasmissione e la risposta in frequenza per le due grandezze.
Ingrandisci immagine

Risultati di misura

Grazie al suo potente hardware di calcolo, lo strumento R&S®QAR50 è in grado di elaborare grandi quantità di dati in un breve periodo di tempo. Le immagini e i grafici di frequenza risultanti sono disponibili in pochi secondi. A seconda dei parametri selezionati e dei dati da salvare, è possibile ottenere tempi di ciclo estremamente rapidi, inferiori a 4 s.

Per quanto riguarda i parametri misurati, precisione, affidabilità e robustezza sono le qualità fondamentali di un dispositivo di misura. Per questo motivo, il tester per radome automobilistici di qualità R&S®QAR50 misura effettivamente la riflessione anziché calcolarla. Il calcolo della riflessione in base alle informazioni sulla fase di trasmissione e sulla perdita di trasmissione è teoricamente possibile, ma causa imprecisioni ed è altamente soggetto a errori. Le riflessioni influiscono notevolmente sulle prestazioni dei radome e dei radar dei paraurti; la precisione è quindi essenziale.

Linea blu: traccia. Linea rossa tratteggiata: indicatore di minima traccia. Area viola: indicatore di banda radar.
Linea blu: traccia. Linea rossa tratteggiata: indicatore di minima traccia. Area viola: indicatore di banda radar.
Ingrandisci immagine

I diagrammi dei risultati mostrano la risposta in frequenza della riflettività (livello) del DUT, con il livello visualizzato in dB su una specifica gamma di frequenze. Lo strumento R&S®QAR50 valuta i risultati di livello all'interno e intorno alle bande radar tipiche. I diagrammi dei risultati sono disponibili per le misure di perdita di riflessione e di trasmissione. In questi diagrammi, l'asse x rappresenta la frequenza e l'asse y il livello o la riflettività. La scala è regolabile.

Idealmente, il minimo della risposta in frequenza si trova all'interno della gamma di frequenze operative del sensore radar utilizzato insieme al DUT. I minimi spostati indicano che vi sono problemi con lo spessore elettrico del DUT e possono essere oggetto di miglioramento. Calcolo della permittività relativa εr con fR = 76,24 GHz:

Calcolo della permittività relativa
R&S®QAR-Z44, set di verifica tracciabile secondo gli standard nazionali e internazionali.
R&S®QAR-Z44, set di verifica tracciabile secondo gli standard nazionali e internazionali.
Ingrandisci immagine

Per garantire un'elevata accuratezza e ripetibilità delle misure, le prestazioni di misura del tester devono essere verificate regolarmente. Con il set di verifica R&S®QAR50-Z44 è possibile verificare facilmente le prestazioni dello strumento R&S®QAR50 per le misure di perdita di riflessione e trasmissione. Il set di verifica R&S®QAR50-Z44 è tracciabile secondo gli standard nazionali e internazionali, offrendo una soluzione unica.

Riassunto

Testare e ottimizzare le proprietà di radome e paraurti durante la progettazione e la qualificazione delle strutture dei materiali utilizzati è molto complesso, costoso e richiede molto tempo. È quindi compito delle aziende chimiche quantificare e convalidare le prestazioni RF dei polimeri prima che vengano stampati.

L'approccio qui descritto consente una caratterizzazione e un'ottimizzazione dei materiali più rapida e meno complicata in una fase iniziale. Un metodo standardizzato per la determinazione della permittività radar può essere integrato nel controllo di qualità. In questo modo, la qualità dei materiali può essere verificata in anticipo, evitando elevati costi di follow-up nelle fasi successive di progettazione.

R&S®QAR50 è lo strumento ideale per caratterizzare accuratamente i polimeri e la loro potenziale influenza sulle prestazioni dei sensori radar automobilistici nella gamma di frequenze dei radar automobilistici durante tutte le fasi del prodotto, dalla progettazione al collaudo finale in produzione. La sua innovativo architettura hardware consente di ottenere tempi di misura straordinariamente rapidi e una facile gestione. Il principio di misura, abbinato a un'interfaccia utente semplice, non richiede particolari conoscenze in materia di RF o microonde.