合成開口レーダーの広帯域スペクトラム測定

合成開口レーダー(SAR)は、レーダー波長を使用して航空機や衛星による地上マッピングを実現しています。SARの地上マップの分解能は、SARが処理するレンジ方向およびクロスレンジ方向の解像度に依存します。クロスレンジ分解能は、パルスを飛行経路に沿って一定時間積分して得られる合成開口長によって決まります。合成開口長が長くなるほど、クロスレンジ分解能は高くなります。レンジ分解能は、線形周波数変調(LFM)チャープ方式のレーダー波形帯域幅によって実現されます。帯域幅が広いほど、高いレンジ分解能を実現できます。

一般的なストリップマップモードのSARシーン:マッピングされる地上シーンに対して、航空機が一定の方位、速度、高度、および距離で飛行することで作成されます。
一般的なストリップマップモードのSARシーン:マッピングされる地上シーンに対して、航空機が一定の方位、速度、高度、および距離で飛行することで作成されます。
ライトボックスを開く

ストリップマップモードSAR測定の

開口長は、航空機の速度(v)とSARの積分時間(tint)に依存します。パルスを時間tintだけ積分した後、SARは、飛行経路に沿って後続シーンのパルスを積分しながら、現在のシーンのマップを作成します。

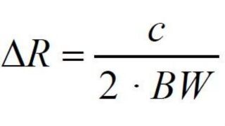
SAR分解能の式

レンジ分解能(ΔR)は、次の式によって計算されます。

cは光速、BWはSAR波形で使用されるLFMチャープの帯域幅です。LFM帯域幅が広いほど、レンジ分解能は高くなります。多くの場合、1 m未満のレンジ分解能が求められます。

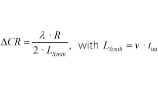
クロスレンジ分解能(ΔCR)は、次の式によって計算されます。

λはレーダー波長、Rはシーンのレンジ、LSynthは開口長です。LSynthは航空機の速度(v)と積分時間(tint)の積です。

R&S®FSW シグナル・スペクトラム・アナライザ(R&S®FSW-B8001 8.3 GHz解析帯域幅オプション搭載)で測定された8 GHz LFMチャープ信号。8 GHzのチャープ帯域幅は、約2 cmのSARレンジ分解能を実現します。
R&S®FSW シグナル・スペクトラム・アナライザ(R&S®FSW-B8001 8.3 GHz解析帯域幅オプション搭載)で測定された8 GHz LFMチャープ信号。8 GHzのチャープ帯域幅は、約2 cmのSARレンジ分解能を実現します。
ライトボックスを開く

アプリケーション/バンドに特化したSARシステム

SARは、UHFバンドからXバンド、Wバンド、それ以上のバンドに適用されます。SARの波長はアプリケーションに依存します。Xバンドは一般的に、都市部の地形や氷雪地帯のSAR高分解能イメージング向けに使用されます。大気吸収はXバンドでは許容範囲ですが、Kバンドでは吸水があるため許容範囲外です。UHFバンドやSバンドなどのバンドは、バイオマスや植物の測定に向いています。Lバンドは森林透過性を備えており、樹冠の下にある古代都市や岩石層の地球物理学的測定に適しています[1]。94 GHz、140 GHz、220 GHz、および235 GHzのミリ波バンドにおける刺激的な新しいアプリケーションとしては、視界環境の悪い航空機の着陸に使用されるビデオ合成開口レーダーなどがあります。このようなSARは、より広い波形帯域幅で動作して分解能の向上を実現しています。

1次元アクティブ電子走査アレイ
1次元アクティブ電子走査アレイ
ライトボックスを開く

新型のSARやすべてのレーダーアプリケーションでは、アクティブ電子走査アレイ(AESA)の使用が増加しています。AESAは通常、送受信モジュール(TRM)を2次元アレイとして配置したものです。各TRMは、サーキュレーター、パワーアンプ、移相器、スイッチで構成されています。デジタルビームフォーマーはTRMを電子制御して、個々のTRMやTRMサブアレイに適用可能な振幅/位相を指示します。ビームフォーマーは、ビーム幅やサイドローブを削減するために、ハニングウィンドウなどの開口テーパリング機能も適用します。安定した位相基準に基づいてレシーバー/励振器がアレイに給電します。レーダーの戻り信号は、基準との位相比較により、ドップラーシフトを測定することができます。

TRMは、リン化インジウム(InP)、窒化ガリウム(GaN)、シリコンゲルマニウム(SiGe)、およびシリコンなどのさまざまな材料で、上に述べたすべてのミリ波バンド向けに開発されています。

R&S®FSW アンテナ・テストチャンバーを使用した一般的なSAR OTAテスト用セットアップ
R&S®FSW アンテナ・テストチャンバーを使用した一般的なSAR OTAテスト用セットアップ
ライトボックスを開く

ローデ・シュワルツのソリューション

システムレベルのレーダーテストは、OTAで実行することが多くなっています。その理由は、ネットワーク・アナライザでTRMをプロービングするよりも容易で、AESAとレーダーレシーバー/励振器を密接に統合できるからです。アンテナ・テストチャンバーにレーダーを配置した一般的なOTAセットアップを右に示します。測定機器は標準利得ホーンアンテナで、これはR&S®FSW シグナル・スペクトラム・アナライザに接続されています。

R&S®FSW シグナル・スペクトラム・アナライザは、SAR測定向けに最大の解析帯域幅を備えており、新しいWバンドの大部分に対応しています。真のプリセレクション機能、イメージ除去機能、および拡張可能なベクトル信号解析を用いた掃引スペクトラム測定や、パルス解析、およびトランジェント解析を、12 GHz~18 GHzでは4.4 GHzの帯域幅で、18 GHzを超える周波数では6.4 GHzまたは8.3 GHzの帯域幅で実行することができます。

R&S®FSW-K6 パルス測定アプリケーション内のR&S®FSW-K6Sオプションによるパルスド波形のタイムサイドローブ解析。
R&S®FSW-K6 パルス測定アプリケーション内のR&S®FSW-K6Sオプションによるパルスド波形のタイムサイドローブ解析。
ライトボックスを開く

R&S®FSW-K6 パルス測定アプリケーションを使用して、パルスドレーダー測定にて振幅、パルス幅、パルス繰り返し間隔(PRI)、周波数、および位相を測定することができます。これらの測定の統計により、パルス間の不安定性を明らかにすることができます。詳細は、Skolnik氏のレーダーハンドブックをご覧ください[2]。パルス雑音から生じるパルス間の不安定性については、ローデ・シュワルツのパルスドキャリアの位相雑音測定アプリケーションノートを参照してください[3]。

R&S®FSW-K6内部でR&S®FSW-K6S タイムサイドローブ測定オプションを使用すれば、パルス間の不安定性に加えて、レーダーパルス内の位相非線形性を測定することができます。これにより、アレイやさらに上流のD/Aコンバーター(DAC)にある問題を明らかにすることができます。線形周波数変調(LFM)チャープの非線形性は、DACの積分非直線性(INL)や、パワーアンプやTRMのPINスイッチにおけるAM - PM変換に起因する可能性があります。ローデ・シュワルツのアプリケーションカード「タイムサイドローブ測定によるレーダーシステムの性能の最適化」(PD 3607.2626.92)[4]では、この現象を説明しています。

さらには、R&S®FSW-K60 トランジェント解析アプリケーション(詳細はローデ・シュワルツのアプリケーションノート「77 GHz FMCWレーダー信号の自動測定」[5]を参照)を使用して、SARの広帯域FMCW波形を解析することができます。

まとめ

R&S®FSW シグナル・スペクトラム・アナライザは、真のプリセレクション機能とイメージ除去機能を使用した場合は最大85 GHzまで、プリセレクションを使用しない場合は最大90 GHzまで、次世代SARの掃引スペクトラム解析を簡素化することができます。拡張可能な帯域幅オプションにより、12 GHz~18 GHzでは4.4 GHzの帯域幅を、18 GHzを超える周波数では6.4 GHzまたは8.3 GHzの帯域幅を使用することができます。内蔵の測定アプリケーションにより、広帯域/高分解能のSAR波形の統計解析や波形解析が可能です。

R&S®FSW-K60 トランジェント解析アプリケーションを使用した8 GHz LFMCW波形の解析
R&S®FSW-K60 トランジェント解析アプリケーションを使用した8 GHz LFMCW波形の解析
ライトボックスを開く

参考資料

[1] 記事:Kelsey Herndon、Franz Meyer、Africa Flores、Emil Cherrington、およびLeah KuceraとEarth Science Data Systemsの共同研究。Leah Kuceraによるグラフィック。2020年4月16日発表、"What is Synthetic Aperture Radar?"。NASA Earthdata。2020年11月15日、次から閲覧可能:earthdata.nasa.gov/learn/what-is-sar

[2] Skolnik, Merrill I(2008年1月22日)。「レーダーハンドブック」 – 第3版 ニューヨーク:McGraw Hill

[3] Gheen, Kay(2016年5月11日)。アプリケーションノート1EF94「パルスド位相雑音測定」 Rohde & Schwarz www.rohde-schwarz.com/appnote/1EF94

[4] アプリケーションカード「タイムサイドローブ測定によるレーダーシステムの性能の最適化」(PD 3607.2626.92、2020年12月) Rohde & Schwarz www.rohde-schwarz.com/applications/time-sidelobe-measurementsoptimize-radar-system-performance-application-card_56279-134857.html

[5] Dr. Heuel、Steffen(2014年5月5日) アプリケーションノート1EF88「77 GHz FMCWレーダー信号の自動測定」 Rohde & Schwarz https://www.rohde-schwarz.com/applications/automated-measurements-of-77-ghz-fmcw-radar-signals-application-note_56280-59841.html