RFポートインピーダンス検証
よくマッチングのとれたRFポートは、全てのRFシステムにとって重要な要件です。例えば、マッチングのとれたポートによって、増幅器の出力ポートが反射パワーの過負荷から保護されます。この不要な反射パワーには、増幅器全体を破壊しかねないほどの威力があります。ポートのマッチングをとると、パワー伝送も最大化され、モノのインターネット(IoT)向けに製造された製品など、ワイヤレス製品のバッテリー寿命を効果的に延長できます。
よくマッチングのとれたRFポートは、全てのRFシステムにとって重要な要件です。例えば、マッチングのとれたポートによって、増幅器の出力ポートが反射パワーの過負荷から保護されます。この不要な反射パワーには、増幅器全体を破壊しかねないほどの威力があります。ポートのマッチングをとると、パワー伝送も最大化され、モノのインターネット(IoT)向けに製造された製品など、ワイヤレス製品のバッテリー寿命を効果的に延長できます。
RFの世界では、シングルエンドコンポーネントの特性インピーダンスに
50 Ωと75 Ωの2つの標準値があります。ほとんどのケーブル、コネクタ、RFコンポーネントは、これら2つの値のいずれかに対してマッチングがとれています。75 Ωは、最小RF減衰ポイントである77 Ωに近いため、(ケーブル)TVアプリケーションで頻繁に見られます。50 Ωは、ハイパワー伝送能力(30 Ω)と低減衰の妥協点です。ただし、コンポーネントはすべて、同じインピーダンス値に対してマッチングをとることが重要です。
最大パワー伝送の実現
パワー伝送定理に従えば、最大パワー伝送を達成するための重要な要素は、ソースインピーダンスZ0と負荷インピーダンスZLの整合です。整合させた状態では、ZLとZ0が等しくなります。
RFパワー反射の減少
ポート整合の効果は、3つの異なるパラメータで表現できます。
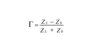
1. 反射係数
入射波と比較した反射波の割合は、Γで示されます。

ソースと負荷間の完全整合はΓ = 0に対応し、全反射は|Γ| = 1に対応します。
2. 電圧定在波比(VSWR)
または、反射を電圧定在波比(VSWR)の観点から見ることができます。

VSWRは、パワーがどの程度効率的に伝送されるかの指標です。VSWR=1は、反射のない最適なパワー伝送を示し、これより大きい値は、インピーダンスマッチングに改善の余地があることを示します。反射パワーが大きくなれば、その分送信パワーが減少するため、バッテリー電源の不必要な使用につながります。信号源を損傷する可能性もあります。
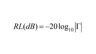
3. リターンロス
反射は、リターンロスでも表現できます。

これは、ポートのマッチングの程度を示す指標です。リターンロスが高いのは望ましいことです。良好な整合特性箇所の分解能が優れているため、VSWRよりも好ましい表現といえます。
負荷整合の測定を視覚化するには、スミスチャートを使用できます。スミスチャートは、整合特性を表示するための優れた、実証済みのツールです。抵抗性成分(抵抗円)と反応性成分(リアクタンス円)のインピーダンスをグラフィカルに表示します。上半分は誘導性、下半分は容量性です。チャート上の各ポイントによって、特定の周波数に関連付けられたインピーダンスを識別できます。これらの値は、複素数Z = R ± jXで表されます。その抵抗性成分は実数項Rで示され、反応性成分は虚数項で示されます。
従来のスミスチャートでは、抵抗は0(チャートの左端)から無限(チャートの右端)に向かって上昇します。チャートの上半分は正のjX値を示し、インピーダンスの挙動は誘導性です。一方、チャートの下半分ではこれらの値は負で、挙動は容量性です。スミスチャートは、使用する機器に応じた基準インピーダンス(50 Ωまたは75 Ω)にノーマライズされる点に注意してください。
良好なインピーダンス特性を実現する簡単な方法は、適切なコンポーネントを選択し、測定によって検証することです。この測定を最も簡単に実行するには、スミスチャート表示を備えたベクトル・ネットワーク・アナライザ(VNA)を使用します。R&S®FPC1500は3倍の価値を提供します。独立した信号源を持つ、機能性に優れた経済的なスペクトラム・アナライザですが、それだけではありません。VSWRブリッジが統合された1ポート・ベクトル・ネットワーク・アナライザとしても機能します。また、内蔵のスミスチャート表示およびマーカー機能が、選択されたインピーダンスシステムに基づいて、ノーマライズされたインピーダンスをオームに自動的に変換します。
測定面(つまり結合ネットワーク位置とネットワーク・アナライザのケーブル間のインタフェース)での校正は、ケーブルとコネクタの影響を補正するための非常に重要なステップです。手動校正は、オープン/ショート/ロード標準を手動で切り替えるとエラーが発生しやすく、時間がかかります。R&S®ZN-Z103 校正ユニットを使用すると、標準の切り替えを自動化できます。これにより、接続エラーが減少し、校正時間が数秒に短縮されます。
まず、測定条件(必要な周波数レンジ、分解能帯域幅、測定ポイント数)を設定します。そのあと、R&S®ZN-Z103をR&S®FPC1500のUSBポートに接続します。測定器は、校正ユニットを自動的に認識します。次に、同軸ケーブルの一方の端をR&S®FPC1500の出力ポートに、もう一方の端を校正ユニットに接続します。"Calibrate → Full 1-port" を押します。これで測定器が校正され、DUTを調べる準備が整いました。
以下に、2.4 GHz ISM帯域内のVSWR、リターンロス、スミスチャートの結果例を表示したスクリーンショットを示します。



RFポートの検証は、損失パワーまたは反射パワーを最小限に抑え、バッテリー寿命を最大化するための重要な要素です。これにより、コンポーネントの過熱や永久的な損傷も防止できます。R&S®FPC1500は、このタイプの検証に向けた、使いやすく、コストパフォーマンスの高い、機能性に優れたツールです。